Зеник і щасливі кафе
Limits: 2 sec., 512 MiB
Зеник вирішив зайнятися архітектурою Львова. Він хоче розмістити
кілька кафе та з’єднати їх дорогами. Кожна дорога матиме позначку: або
4, або 7. Дороги можна проходити в обидва
боки. Жодна пара кафе не може бути безпосередньо
з’єднана більше ніж однією дорогою.
Зеник хоче, щоб його мережа кафе була щасливою. Це означає, що в ній
існує щасливий маршрут. Маршрут називається щасливим, якщо він проходить
по дорогах з позначками, що утворюють задану послідовність \(a\) з цифр 4 і 7
(наприклад, 477447). Під час маршруту можна кілька разів
повертатися в те саме кафе.
Яка найменша кількість кафе \(k\) потрібна Зенику, щоб така щаслива мережа кафе існувала?
Input
В першому рядку задано одне ціле число \(n\) — довжина послідовності \(a\).
У другому рядку задано \(n\) чисел \(a_1, a_2, \ldots, a_n\) — послідовність позначок в щасливому маршруті.
Output
В єдиному рядку виведіть одне число \(k\), що позначає мінімальну кількість кафе, щоб мережа була щасливою.
Constraints
\(1 \le n \le 10^{5}\),
\(a_i = \texttt{4}\) або \(a_i = \texttt{7}\).
Samples
| Input (stdin) | Output (stdout) |
|---|---|
| 3 4 4 4 | 2 |
| Input (stdin) | Output (stdout) |
|---|---|
| 5 7 7 4 4 7 | 3 |
| Input (stdin) | Output (stdout) |
|---|---|
| 6 4 7 4 7 4 7 | 4 |
| Input (stdin) | Output (stdout) |
|---|---|
| 10 4 7 7 4 4 7 4 4 7 4 | 3 |
Notes
В першому прикладі достатньо 2 кафе, між якими буде дорога з
позначкою 4. Тоді щасливим буде шлях \(1 \xrightarrow{4} 2 \xrightarrow{4} 1
\xrightarrow{4} 2\).
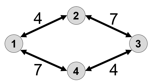
В другому прикладі необхідно 3 кафе як на зображенні нижче. Тоді щасливим буде шлях \(3 \xrightarrow{7} 2 \xrightarrow{7} 1 \xrightarrow{4} 3 \xrightarrow{4} 1 \xrightarrow{7} 2\).
Можна довести, що в третьому прикладі необхідно як мінімум 4 кафе. Щасливий шлях для зображення нижче \(1 \xrightarrow{4} 2 \xrightarrow{7} 3 \xrightarrow{4} 4 \xrightarrow{7} 1 \xrightarrow{4} 2 \xrightarrow{7} 3\).
| Element Type | Created | Who | Problem | Compiler | Result | Time (sec.) | Memory (MiB) | # | Actions |
|---|