Найнижчий спільний предок
Limits: 2 sec., 256 MiB
Задано кореневе дерево з \(n\) вершин, пронумерованих від \(1\) до \(n\). Коренем дерева є вершина \(1\).
Потрібно відповісти на \(q\) запитів — для пари вершин \(x\), \(y\) потрібно знайти їхнього найнижчого спільного предка.
Input
У першому рядку задано ціле число \(n\) — кількість вершин дерева.
У наступних \(n - 1\) рядках записано по два цілих числа \(u\), \(v\) — номери вершин, з’єднані ребром.
Далі задано ціле число \(q\) — кількість запитів.
У наступних \(q\) рядках записано по два цілі числа \(x\), \(y\) — номери вершин у запиті.
Output
У \(q\) рядках виведіть по одному цілому числу на кожен запит — номер найнижчого спільного предка вершин \(x\) та \(y\).
Constraints
\(1 \le n \le 2 \cdot 10^5\),
\(1 \le q \le 2 \cdot 10^5\).
Samples
| Input (stdin) | Output (stdout) |
|---|---|
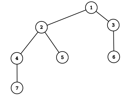
| 7 4 7 1 2 1 3 2 4 2 5 3 6 7 4 7 7 6 7 7 5 7 2 3 7 3 4 5 | 4 1 7 2 1 1 2 |
Notes
Найнижчим спільним предком вершин \(4\) і \(7\) є вершина \(4\).
Найнижчим спільним предком вершин \(7\) і \(6\) є вершина \(1\).
Найнижчим спільним предком вершин \(7\) і \(7\) є вершина \(7\).
Найнижчим спільним предком вершин \(5\) і \(7\) є вершина \(2\).
Найнижчим спільним предком вершин \(2\) і \(3\) є вершина \(1\).
Найнижчим спільним предком вершин \(7\) і \(3\) є вершина \(1\).
Найнижчим спільним предком вершин \(4\) і \(5\) є вершина \(2\).
| Element Type | Created | Who | Problem | Compiler | Result | Time (sec.) | Memory (MiB) | # | Actions |
|---|