Складніші запити на дереві
Limits: 2 sec., 256 MiB
Задано кореневе дерево з \(n\) вершин, пронумерованих від \(1\) до \(n\). Коренем дерева є вершина \(1\). У кожній вершині \(v\) записано ціле число \(a_v\).
Потрібно опрацювати \(q\) запитів двох типів.
1\(\ u \ v \ x\) — збільшити значення \(a\) всім вершинам на шляху від \(u\) до \(v\) на \(x\).2\(\ v\) — знайти суму значень \(a\) у піддереві вершини \(v\).
Input
У першому рядку задано ціле число \(n\) — кількість вершин дерева.
У другому рядку задано \(n\) цілих чисел \(a_v\), що записані у вершинах.
У наступних \(n - 1\) рядках записано по два цілих числа \(u\), \(v\) — номери вершин, з’єднаних ребром.
Далі задано ціле число \(q\) — кількість запитів.
У наступних \(q\) рядках задано запити у вищеописаному форматі.
Output
Для кожного запиту другого типу виведіть відповідь в окремому рядку.
Constraints
\(1 \le n \le 2 \cdot 10^5\),
\(1 \le q \le 2 \cdot 10^5\),
\(1 \le a_v, x \le 10^9\).
Samples
| Input (stdin) | Output (stdout) |
|---|---|
| 5 4 7 4 7 4 1 2 1 3 2 4 2 5 7 2 2 2 1 1 4 5 2 2 2 2 1 1 4 3 7 2 1 | 18 26 24 32 60 |
Notes
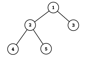
Спочатку \(a = (4, 7, 4, 7, 4)\).
Піддерево вершини \(2\) складається з вершин \(2\), \(4\), \(5\). Відповідь дорівнює \(a_2+a_4+a_5=7+7+4=18\).
Піддерево вершини \(1\) — це ціле дерево. Відповідь дорівнює \(a_1+a_2+a_3+a_4+a_5=4+7+4+7+4=26\).
На шляху від вершини \(4\) до вершини \(5\) лежать вершини \(4\), \(2\), \(5\). Після збільшення \(a_4\), \(a_2\), \(a_5\) на \(2\) масив \(a\) стане \((4, 9, 4, 9, 6)\).
Піддерево вершини \(2\) складається з вершин \(2\), \(4\), \(5\). Відповідь дорівнює \(a_2+a_4+a_5=9+9+6=24\).
Піддерево вершини \(1\) — це ціле дерево. Відповідь дорівнює \(a_1+a_2+a_3+a_4+a_5=4+9+4+9+6=32\).
На шляху від вершини \(4\) до вершини \(3\) лежать вершини \(4\), \(2\), \(1\), \(3\). Після збільшення \(a_4\), \(a_2\), \(a_1\), \(a_3\) на \(7\) масив \(a\) стане \((11, 16, 11, 16, 6)\).
Піддерево вершини \(1\) — це ціле дерево. Відповідь дорівнює \(a_1+a_2+a_3+a_4+a_5=11+16+11+16+6=60\).
| Element Type | Created | Who | Problem | Compiler | Result | Time (sec.) | Memory (MiB) | # | Actions |
|---|