Values in a Rooted Tree
Limits: 3 sec., 512 MiB
We have a rooted tree with \(n\) vertices. The vertices are numbered \(1\) through \(n\), and the root is vertex \(1\). The \(i\)-th edge connects vertices \(u_i\) and \(v_i\). Vertex \(v\) has an integer \(a_v\) written on it.
For each vertex \(v\), find the maximum \(m\) such that there exists \(x\), such that all values \(x, x + 1, \dots, x + m - 1\) are present on the path between the root and vertex \(v\).
Input
The first line contains an integer \(n\) – the number of vertices in the tree.
The second line contains \(n\) integers \(a_v\) written on the vertices of the tree.
The following \(n - 1\) lines contain two integers \(u_i, v_i\) each – the ends of the \(i\)-th edge.
Output
In a single line, print \(n\) integers – the maximum \(m\) for each \(1 \le v \le n\).
Constraints
\(1 \le n \le 3 \cdot 10^5\),
\(0 \le a_v \le 10^9\),
\(1 \le u_i, v_i \le n\).
Samples
| Input (stdin) | Output (stdout) |
|---|---|
| 5 2 4 0 3 5 1 2 1 3 2 4 2 5 | 1 1 1 3 2 |
| Input (stdin) | Output (stdout) |
|---|---|
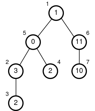
| 7 1 3 2 2 0 11 10 4 5 5 1 2 5 2 3 1 6 7 6 | 1 2 4 3 2 1 2 |
Notes
In the first example, the answers for all vertices are the following.
Vertex \(1\). Since the root is vertex \(1\), thus the path between the root and vertex \(1\) contains the only vertex. In this case, \(m = 1\).
Vertex \(2\). The path between the root and the vertex \(2\) contains two vertices \(1\) and \(2\) with values \(2\) and \(4\), respectively. Again, \(m = 1\).
Vertex \(3\). The path between the root and the vertex \(3\) contains two vertices \(1\) and \(3\) with values \(2\) and \(0\), respectively. For vertex \(3\), the answer is \(m = 1\).
Vertex \(4\). The path between the root and the vertex \(4\) contains three vertices \(1\), \(2\) and \(4\) with values \(2\), \(4\) and \(3\) respectively. Here the answer is \(m = 3\), because for \(x = 2\), the values \(x = 2\), \(x + 1 = 3\) and \(x + 2 = 4\) are present on the path.
Vertex \(5\). The path between the root and the vertex \(5\) contains three vertices \(1\), \(2\) and \(5\) with values \(2\), \(4\) and \(5\) respectively. Here, the answer is \(m = 2\) because, for \(x = 4\), the values \(x = 4\) and \(x + 1 = 5\) are present on the path.
Submit a solution
| Element Type | Created | Who | Problem | Compiler | Result | Time (sec.) | Memory (MiB) | # | Actions |
|---|
| Element Type | Created | Who | Problem | Compiler | Result | Time (sec.) | Memory (MiB) | # | Actions |
|---|