Пересування по країні
Обмеження: 3 сек., 512 МіБ
Зеник живе у країні, де є \(n\) міст. У країні є \(n - 1\) дорога, кожна з яких з’єднує два міста. Усі міста сполучені дорогами так, що між будь-якими двома містами існує лише один маршрут.
Столицею країни є місто з номером 1. Від столиці відходять дороги до інших міст, від них — ще далі, і так утворюється мережа міст, що розходяться від центру.
Зеник може подорожувати країною двома способами:
Проїхати маршруткою між двома містами, що з’єднані дорогою.
Телепортуватися далі від столиці — одразу потрапити до будь-якого міста, що знаходиться на один рівень далі від столиці, ніж те, у якому він зараз перебуває.
Надходять \(q\) запитів: за яку мінімальну кількість кроків Зеник може дістатися до Марічки, якщо він зараз перебуває в місті \(u\), а вона — в місті \(v\).
Вхідні дані
В першому рядку задано ціле число \(n\) — кількість міст у країні.
В наступних \(n - 1\) рядках задано по два цілі числа — пари міст, що з’єднані дорогою.
В наступному рядку задано одне ціле число \(q\) — кількість запитів.
В наступних \(q\) рядках задано по два цілі числа \(u\) та \(v\) — міста де є Зеник і Марічка відповідно.
Вихідні дані
В \(q\) рядках виведіть мінімальну кількість кроків, щоб Зеник дійшов від міста \(u\) до міста \(v\).
Обмеження
\(1 \le n, q \le 4 \cdot 10^5\),
\(1 \le u, v \le n\).
Оцінювання складається з таких блоків:
по 1 балу за кожен приклад з умови,
27 балів: \(n, q \le 1000\),
14 балів: міста \(u\) та \(v\) на однаковій відстані від столиці,
21 бал: місто \(u\) не є далі від столиці ніж місто \(v\),
37 балів: без додаткових обмежень.
Бали за блок ви отримаєте, тільки якщо ваша програма пройде всі тести з блоку.
Приклади
| Вхідні дані (stdin) | Вихідні дані (stdout) |
|---|---|
| 7 1 2 1 4 2 3 2 5 4 6 6 7 4 5 7 4 7 7 4 4 4 | 1 2 2 0 |
Примітки
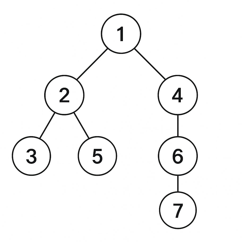
Країна в прикладі виглядає так:
В першому запиті Зеник є у місті 5, а Марічка у місті 7. Зеник може телепортуватися з міста 5 у місто 7 за один крок, оскільки місто 5 на є на відстані 2 від столиці, а місто 7 на відстані 3.
В другому запиті Зеник може поїхати маршруткою з міста 7 у місто 6, оскільки між ними є дорога, а після того з міста 6 поїхати маршруткою у місто 4. Тут йому знадобиться зробити 2 дії.
Надіслати розв'язок
| Element Type | Створено | Хто | Задача | Компілятор | Результат | Час (сек.) | Пам'ять (МіБ) | № | Дії |
|---|
| Element Type | Створено | Хто | Задача | Компілятор | Результат | Час (сек.) | Пам'ять (МіБ) | № | Дії |
|---|