Гільдія злодіїв
Обмеження: 3 сек., 512 МіБ
В одному королівстві є \(n\) міст, з’єднаних \(n-1\) дорогою так, що між кожною парою міст можливо добратись дорогами. Іншими словами, міста та дороги утворюють дерево.
У кожному місті є банк, в сховищі банку в місті \(v\) знаходиться \(a_v\) монет. В одному з міст зародилась гільдія злодіїв, яка планує пограбувати банки усього королівства. На жаль, король не знає в якому саме місті це сталось, тож для протидії великого пограбування він вирішив зробити усі дороги королівства односторонніми, попри те, що після цього уже неможливо дістатись з будь-якого міста в будь-яке інше.
Та все ж, пограбування відбудеться! Гільдія пограбує усі банки в усіх містах, в які можливо добратись від міста, де гільдія зародилась.
Король хоче обрати такі напрямки доріг, щоб мінімізувати максимальний можливий збиток. Більш формально, нехай \(c_v\) – сума кількості монет у всіх містах, які досяжні з міста \(v\) після того, як король обере напрямок кожної дороги (включно з містом \(v\)). Тоді вам потрібно обрати напрямки так, щоб мінімізувати \(\max c_v\).
Вхідні дані
В першому рядку задано єдине ціле число \(n\) – кількість міст королівства.
У наступному рядку задано \(n\) цілих чисел \(a_i\) – кількість монет у банках.
\(i\)-ий з наступних \(n-1\) рядків містить два цілі числа \(u_i\) та \(v_i\), що означає, що між містами з цими номерами є дорога.
Вихідні дані
Виведіть єдине число – мінімальне можливе значення \(\max c_v\).
Обмеження
\(2 \le n \le 10^5\),
\(1 \le a_i \le 10^9\),
\(1 \le u_i, v_i \le n\).
Приклади
| Вхідні дані (stdin) | Вихідні дані (stdout) |
|---|---|
| 7 1 2 3 4 5 6 7 1 2 1 3 2 4 2 5 4 6 1 7 | 12 |
| Вхідні дані (stdin) | Вихідні дані (stdout) |
|---|---|
| 7 1 1 1 1 1 1 1 1 2 1 3 2 4 2 5 4 6 1 7 | 3 |
| Вхідні дані (stdin) | Вихідні дані (stdout) |
|---|---|
| 2 4 7 1 2 | 11 |
Примітки
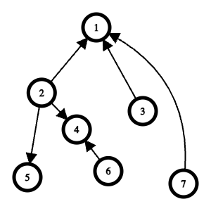
У першому приклад у вершині \(v\) знаходиться \(v\) монет. Можлива орієнтація ребер зображена на рисунку. Тоді якщо гільдія розташована у вершині 2, а отже вони можуть пограбувати банк у вершинах 1, 2, 4 та 5. \(c_2 = a_1 + a_2 + a_4 + a_5 = 12\). Для всіх інших вершин це значення є меншим.
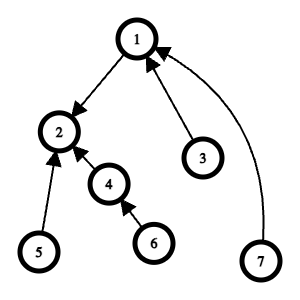
У другому прикладі у кожній вершині по одній монеті. Один з варіантів, як орієнтувати ребра:
Надіслати розв'язок
| Element Type | Створено | Хто | Задача | Компілятор | Результат | Час (сек.) | Пам'ять (МіБ) | № | Дії |
|---|
| Element Type | Створено | Хто | Задача | Компілятор | Результат | Час (сек.) | Пам'ять (МіБ) | № | Дії |
|---|